La guerre des classes d’amplification : ça va chauffer

audioanalyse_A9Nous avons senti une grande attente des lecteurs de Tryphonblog pour des articles didactiques qui permettent à un large public d’appréhender les arcanes de la haute-fidélité. Parmi les sujets sur lesquels les questions sont les plus fréquentes, il y a bien sûr la question des différentes classes d’amplification.

Il existe en effet depuis de longues années une querelle entre les zélotes des amplificateurs en classe A qui prônent la supériorité de cette technique face aux tenants de la classe AB défendant l’efficacité de cette technique qui ne présenterait pas de défaut audible. Mais les deux se retrouvent ligués contre les promoteurs de la classe D unanimement jugée médiocre.

Sur ce terrain s’affrontent les audiophiles subjectivistes, attachés à la primauté de l’évaluation par l’écoute et les objectivistes obtus qui après avoir constaté que les mesures ne sont en rien défavorables aux amplificateurs en classe AB et D, nient tout apport de la classe A. Dans cet article, nous allons montrer à ces derniers, et avec leurs propres outils, que cette analyse résulte d’une lecture tronquée des fiches techniques. Grâce à une approche scientifique implacable il sera prouvé en quoi la classe A est supérieure mais également quelles sont les conditions pour que cette supériorité puisse s’exprimer. Comme le disait dans une citation mal comprise le regretté Richard Hay, fondateur de Nytech et de Ion Systems: « Class A is perfect for cooking ».

Nous allons tout d’abord revenir sur les principes de fonctionnement des différentes classes d’amplification. On imaginera pour cette explication que le transistor est une résistance polarisée variable qui laisse passer le courant de l’alimentation en fonction d’un signal de commande (le signal d’entrée).

Le principe de la classe A est de n’utiliser que la partie linéaire de la courbe caractéristique des transistors. Pour cela il est nécessaire de polariser en permanence le transistor sur le point milieu de cette courbe. En effet, il faut éviter que les pics positifs du signal d’entrée n’amènent le transistor à saturation et parallèlement que les pics négatifs n’amènent le transistor vers le pied de la courbe ou il est bloqué. Ce faisant même (et surtout) en l’absence de signal toute cette énergie de polarisation est perdue en chaleur. Le rendement théorique maximal d’un amplificateur en classe A est de 25%, ce qui veut dire que 75% de la puissance est dissipée en chaleur.

Fonctionnement théorique de la classe A

Fonctionnement théorique de la classe A

Une solution plus efficace est d’utiliser deux transistors complémentaires (NPN et PNP) pour amplifier respectivement les alternances positives et négatives du signal. C’est la classe B qui est affectée en pratique d’une distorsion dite de croisement car les transistors ne sont pas immédiatement actifs et linéaires dès le point zéro de leur courbe. En pratique, on polarise plus ou moins légèrement chacun des transistors de façon à ce que le point de repos soit dans le bas de la partie linéaire de leur courbe. C’est la classe AB. Suivant le choix du niveau de polarisation, le rendement varie évidement mais disons qu’il sera proche de 50%. Les puristes relèveront les risques de dégradation du résultat auditif provenant de deux transistors de technologies différentes (NPN et PNP) pour chacune des demis alternances et du fait que le fonctionnement oscille entre l’utilisation d’un transistor pour les tensions élevées et de deux en parallèles sur les tensions faibles.

Fonctionnement théorique de la classe B.

Fonctionnement théorique de la classe B.

Le principe de la classe D est totalement différent. L’idée est d’utiliser le transistor en commutation. Il bloque ou laisse passer totalement la tension d’alimentation qui est modulé en haute fréquence de façon à ce que grâce à une boucle de contre réaction, la puissance fournie en sortie soit homothétique au signal d’entré. On élimine ensuite les résidus haute fréquence avec un classique filtre passe bas LC. Le rendement est très élevé de l’ordre de 90%. Là aussi les puristes relèvent le risque que représente la manipulation de haute fréquence et les risques d’interférence électromagnétique (EMI) qui y sont liés.

Pour illustrer ce propos, comparons les caractéristiques de trois amplificateurs. Il s’agit de trois modèles renommés parfaitement représentatifs du la plus haute qualité dans chacune des classes.

Amplificateur Accuphase
A-200
Accuphase
P-4200
IcePower ASP250
a-200 p-4200 jeffrowland_m501
Puissance
(Watt)
100 90 130
THD (%) 0,03 0,02 0,0055
IM (%) 0,01 0,01 0,0009
Bande
Passante
20Hz-20kHz
+0,
-0,02dB
+0,
-0,02dB
+0,3, -0,5dB
Poids
(Stéréo) (kg)
2x 55 28,9 <
2x 1 (sans coffret)
Consommation
électrique au repos (Watt)
2x 300 76 2x 2

Les objectivistes relèveront immédiatement que les mesures audio classiques, distorsion harmonique et d’intermodulation et bande passante ne permettent pas de hiérarchiser ces trois appareils. C’est une vision un peu courte car elle occulte la dernière ligne pour laquelle la différence est considérable.  Mais comment cette puissance électrique qui serait « perdue » en chaleur peut-elle avoir une influence sur la qualité sonore ? C’est ce que nous allons voir.

Le principe de diffusion sonore consiste à déplacer une membrane pour créer une onde sonore à destination des oreilles de l’auditeur. Pour que cette onde qui s’éloigne vers l’auditeur ne soit pas perturbée par les mouvements de la membrane, il faut que sa vitesse soit sensiblement supérieure à celle de la membrane. Cela est aisément compréhensible : à la limite si la membrane devient supersonique, le son produit n’est plus que de la distorsion, comme le bang d’un avion qui passe le mur du son.

Mais quel est la vitesse de la membrane ? Pour simplifier considérons la membrane reproduisant une fréquence donnée f comme un système oscillant parfait. La théorie des systèmes oscillants nous donne pour vitesse de la membrane

cmembrane = E ω cos(ω(t)+φ)

cmembrane est la vitesse, E l’élongation de la membrane, ω la pulsation et φ la phase initiale. La phase initiale n’a guère d’importance et la vitesse maximale cmax est atteinte pour cosinus = 1 (en pratique, c’est le point ou la membrane passe à son point de repos).

 cmax = E ω

et si on remplace la pulsation pas la fréquence

cmax = E 2π f

À haut-parleur donné, l’élongation dépend du niveau sonore demandé. Elle est bien sûr dépendante de la technologie du haut-parleur et notamment de la taille de la membrane. La fréquence dépend du signal et de la bande passante du tweeter. Ce serai une erreur de considérer que f est limité aux fréquences audibles car, comme le bang de l’avion qui passe le mur du son n’est pas lié au bruit émis, une excitation dans une fréquence ultrasonique peut engendrer de la distorsion dans une fréquence audible.

À titre d’exemple, la membrane d’un tweeter ayant une excursion de +/- 1mm à 20kHz aura une vitesse maximale de

cmax = 20000 x 2π x 0,001 =  125 m/s

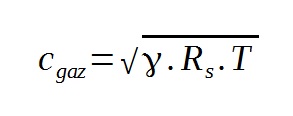
Comparons cela à la vitesse du son. La vitesse d’une onde dans un gaz est:

vitesse du sonOù γ est le rapport entre les capacités thermiques isobare et isochore du gaz, Rs la constante spécifique des gaz parfaits et T la température (en kelvin).

L’air étant majoritairement composé de molécules diatomiques, on prendra pour γ la valeur pour un gaz parfait diatomique soit 7/5. Rs vaut 287J.kg-1.K-1. On a donc :

vitesse du sonÀ titre d’exemple à 0°C cair= 331,5m/s et à 20°C et 40°C ont a respectivement 343,4m/s et 363m/s.

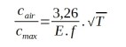
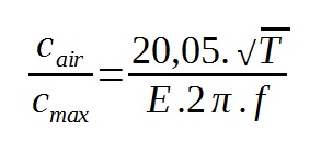
Le rapport de la vitesse de propagation et de la vitesse de la membrane est donc :

rap1

rap2À programme musical  (f), enceinte et niveau sonore  (E) égaux, il est donc clair que le rapport entre la vitesse de propagation de l’onde sonore et la vitesse de la membrane est d’autant plus favorable que la température est élevée, en fonction de la racine carrée de cette température pour être précis. Maximiser cette température permettra d’améliorer ce rapport et donc de diminuer la distorsion.

L’amplification en classe A, par son faible rendement et donc la forte dissipation thermique qu’elle engendre contribue plus que tout autre à l’élévation de la température de l’auditorium et donc à l’amélioration de l’expérience auditive.

Deux charmantes audiophiles écoutants un Accuphase dans les meilleures conditions : bien au chaud.

Deux charmantes audiophiles débattant de la qualité d’un amplificateur  Accuphase dans les meilleures conditions : bien au chaud.

Ces explications sont malheureusement trop rarement données dans les magazines et webzines. Mais au-delà de la mise en lumière des avantages de la classe A, elles permettent de comprendre un certain nombre de phénomènes couramment niés par les audiophiles objectivistes à l’esprit aussi étroit que leurs conduits auditifs.

Par exemple le CD, qui par construction ne comprend pas de signal au-delà de 22kHz sera moins discriminant pour les amplificateurs que le signal analogique d’une platine vinyIe et que les signaux numériques à haute résolution échantillonnés à 96 ou 192 kHz. Ceux si peuvent en excitant les tweeters aux limites de leur bande passante (couramment plus de 30kHz pour un modèle haut de gamme) amener les membranes aux vitesses les plus élevés.

On voit également tout l’intérêt des transducteurs à pavillon dont la membrane du moteur à une excursion plus faible (et donc à fréquence égale une vitesse plus faible) que celles des haut-parleurs à couplage direct.

On comprend mieux également pourquoi il est recommandé de laissé branché en permanence les appareils hifi afin de maximiser la dissipation thermique et de maintenir au plus haut la température de l’auditorium.

Ne vous êtes-vous pas demandé pourquoi les enceintes finlandaises Genelec vous ont toujours un peu déçu par leur sonorité un peu dure ? C’est que conçues et utilisées au pays où le sauna est une institution, ces enceintes sont optimisées des conditions de température (couramment plus de 100°) où la vitesse du son est particulièrement élevée et donc extrêmement favorable à diminution des distorsions.

En conclusion, l’audiophile doit prendre garde aux explications pseudo scientifiques simplistes et aux spécifications tronquées qui permettent de démontrer n’importe quoi.

2 réflexions sur “La guerre des classes d’amplification : ça va chauffer

  1. Bonsoir,
    Merci beaucoup pour cet article. Très intéressant.
    Une question pour être sûr de bien vous suivre. Vous dites que les fréquences supérieures à 20kHz peuvent impacter les fréquences du spectre audible. C’est quelque chose que beau beaucoup de mal à comprendre, particulièrement lorsque l’on parle d’acoustique linéaire (ondes de faibles amplitudes). L’analogie avec une onde de choc (amplitude de l’ordre de plusieurs bar) me semble inappropriée, mais peut-être que je me trompe. Qu’en pensez vous ?
    En tous cas merci encore pour ce billet.
    Bien cordialement,
    Guillaume

    J’aime

Laisser un commentaire